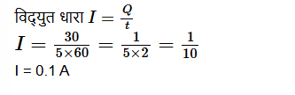
REET LEVEL 2 गणित & विज्ञान प्रकाश एवं ध्वनि, विद्युत एवं चुम्बकत्व | REET LEVEL 2 nd 2025 | विज्ञान (Science) | महत्वपूर्ण प्रश्न by RPSC | December 26, 2024 Facebook फ्री टेस्ट , नोट्स और अपडेट के लिए Join करे 👇👇 Join WhatsApp Join Now Join Telegram Join Now Report a question What’s wrong with this question? You cannot submit an empty report. Please add some details. /20 39 1234567891011121314151617181920 प्रकाश एवं ध्वनि, विद्युत एवं चुम्बकत्व | REET LEVEL 2 nd 2025 | विज्ञान (Science) | महत्वपूर्ण प्रश्न 🔴महत्वपूर्ण निर्देश 🔴 ✅ टेस्ट शुरू करने से पहले कृपया सही जानकारी भरे | ✅ सभी प्रश्नों को आराम से पढ़कर उत्तर दे | ✅सभी प्रश्नों का उत्तर टेस्ट पूर्ण करने पर दिखाई देगा | ✅ टेस्ट पूर्ण करने पर सभी प्रश्नों के उत्तर विस्तार से समझाया गया है | Name 1 / 20 1. प्राथमिक इन्द्रधनुष के लिए सत्य कथन है– 2 अपवर्तन 2-पूर्ण आंतरिक परावर्तन 1 अपवर्तन 2- पूर्ण आंतरिक परावर्तन 2 अपवर्तन 1- पूर्ण आंतरिक परावर्तन 1 अपवर्तन 1- पूर्ण आंतरिक परावर्तन Solution प्राथमिक इन्द्रधनुष में 2 अपवर्तन व 1 पूर्ण आंतरिक परावर्तन होता है। यह अधिक चमकीला होता है। 2 / 20 2. ध्वनि तरंगें– निर्वात में चल सकती हैं केवल ठोस माध्यम में चल सकती हैं केवल गैसों में चल सकती हैं ठोस तथा गैस दोनों माध्यम में चल सकती हैं Solution ध्वनि तरंगें ठोस तथा गैस दोनों माध्यम में चल सकती हैं। 3 / 20 3. एक समान चुम्बकीय क्षेत्र में घूर्णन करती कुण्डली में विद्युत वाहक बल अधिकतम होगा जब– कुण्डली से जुड़ा फ्लक्स अधिकतम हो कुण्डली से जुड़े फ्लक्स में परिवर्तन की दर न्यूनतम हो। कुण्डली से जुड़े फ्लक्स में परिवर्तन की दर अधिकतम हो। उपर्युक्त में से कोई नहीं Solution 4 / 20 4. यदि प्रतिचुंबकीय पदार्थ को दंड चुम्बक के उत्तरी या दक्षिणी ध्रुव के पास लाया जाए तब यह- ध्रुवों द्वारा आकर्षित होता है ध्रुवों द्वारा प्रतिकर्षित होता है उत्तरी ध्रुव द्वारा प्रतिकर्षित तथा दक्षिणी ध्रुव द्वारा आकर्षित होता है उत्तरी ध्रुव द्वारा आकर्षित तथा दक्षिणी ध्रुव द्वारा प्रतिकर्षित होता है Solution यदि प्रतिचुंबकीय पदार्थ दंड चुम्बक के उत्तरी या दक्षिणी ध्रुव के पास लाया जाए तब यह समान ध्रुव प्रेरित होने के कारण प्रतिकर्षित होगा। 5 / 20 5. धारामापी (गैल्वेनोमीटर) को अमीटर में परिवर्तित करने के लिए– श्रेणीक्रम में उच्च प्रतिरोध लगाया जाता है। श्रेणीक्रम में निम्न प्रतिरोध लगाया जाता है। समान्तर क्रम में उच्च प्रतिरोध लगाया जाता है। समान्तर क्रम में निम्न प्रतिरोध लगाया जाता है। Solution गैल्वेनोमीटर – किसी भी परिपथ में धारा की विक्षेप की सूचना प्रदान करने वाली युक्ति को गैल्वेनोमीटर कहते हैं। गैल्वेनोमीटर को अमीटर में बदलने के लिए गैल्वेनोमीटर के समान्तर क्रम में अल्प प्रतिरोध संयोजित किया जाता है। 6 / 20 6. किसी चालक का विद्युत प्रतिरोध निर्भर करता है– चालक के आकार पर चालक के ताप पर चालक की ज्यामिति पर उपर्युक्त सभी Solution किसी चालक का विद्युत प्रतिरोध सभी कारकों-आकार, ताप तथा चालक की ज्यामिति पर निर्भर करता है। 7 / 20 7. यदि 5Ω, 7Ω व 9Ω के तीन प्रतिरोधों को परिपथ के श्रेणीक्रम में लगाया जाए तो संयोजन का तुल्य प्रतिरोध होगा– 16 Ω 12 Ω 21 Ω 14 Ω Solution श्रेणीक्रम संयोजन में तुल्य प्रतिरोध Rs = R1 + R2 + R3 Rs = (5 + 7 + 9) Ω Rs = 21 Ω 8 / 20 8. l लम्बाई तथा A क्षेत्रफल वाले चालक तार का प्रतिरोध R है। यदि इसकी लम्बाई खींचकर दुगुनी कर दी जाए तो नया प्रतिरोध होगा– 2R R/2 4R R/4 Solution 9 / 20 9. मनुष्य की आँख में प्रकाश तरंगें किस स्थान पर स्नायु उद्वेगों में परिवर्तित होती है? कनीनिका (कॉर्निया) नेत्रतारा अक्षपट (रेटिना) लैन्स Solution मनुष्य की आँख में प्रकाश तरंगें अक्षपट (रेटिना) स्थान पर स्नायु उद्वेगों में परिवर्तित होती है। रेटिना पर किसी वस्तु का उल्टा प्रतिबिम्ब बनता है। 10 / 20 10. यदि कोई वस्तु किसी उत्तल लेंस जिसकी फोकस दूरी 15 cm है, के प्रकाशिक केन्द्र से 30 cm दूरी पर स्थित है तो प्रतिबिम्ब की स्थिति ज्ञात कीजिए– 15 cm –15 cm 20 cm 30 cm Solution 11 / 20 11. ध्वनि की तीव्रता को मापने वाला यंत्र है- क्रोनोमीटर एनिमोमीटर ओडियोफोन ओडियोमीटर Solution ध्वनि की तीव्रता को मापने वाला यंत्र ओडियोमीटर है। 12 / 20 12. किसी ट्यूबलाइट में 30 C आवेश 5 मिनट तक प्रवाहित होते हैं तो उत्पन्न धारा का मान होगा– 0.1 A 10 A 2 A 0.2 A Solution 13 / 20 13. किसी क्षैतिज शक्ति संचरण लाइन में पूर्व से पश्चिम दिशा की ओर विद्युत धारा प्रवाहित हो रही है। इसके ठीक नीचे के किसी बिंदु पर तथा इसके ठीक ऊपर के किसी बिंदु पर चुम्बकीय क्षेत्र की दिशा क्या है? तार के लम्बवत् तल में दक्षिणावर्त तार के समांतर दीर्घवृत्ताकार दिशा उत्तर से दक्षिण की ओर Solution किसी क्षैतिज शक्ति संचरण लाइन में पूर्व से पश्चिम दिशा की ओर विद्युत धारा प्रवाहित हो रही है। इसके ठीक नीचे के किसी बिंदु पर तथा इसके ठीक ऊपर के किसी बिंदु पर चुम्बकीय क्षेत्र की दिशा तार के लम्बवत् तल में दक्षिणावर्त है। 14 / 20 14. एक व्यक्ति की ऊँचाई 8m है। वह अपना प्रतिबिम्ब 2m ऊँचाई का प्रेक्षित करता है। तब प्रयुक्त दर्पण है– अवतल उत्तल समतल उपर्युक्त में से कोई नहीं Solution 15 / 20 15. 50 वॉल्ट की बैटरी से यदि किसी चालक में 10 A की धारा प्रवाहित होती है तो चालक का प्रतिरोध होगा- 2 ओम 5 ओम 0. 4 ओम 10 ओम Solution V = 50V और I = 10A R=V/I R = 50/10 ओम =5 ओम 16 / 20 16. लघुपथन के समय, परिपथ में धारा– में पर्याप्त कमी होती है। बहुत अधिक बढ़ जाती है। परिवर्तित नहीं होती है। निरंतर परिवर्तित होती है। Solution लघुपथन (शॉर्ट सर्किट) :- जब किसी कारण फेज (मेंस) और न्यूट्रल तार (लाइन तार) आपस में जुड़ जाते हैं तो बड़ी मात्रा में स्पार्क (चिंगारी) उत्पन्न होती है। जिसके कारण परिपथ में धारा बहुत अधिक बढ़ जाती है, इसे लघुपथन कहते हैं। 17 / 20 17. ट्रांसफार्मर किस सिद्धांत पर कार्य करता है? ऐम्पियर के परिपथीय नियम पर बायो-सावर्ट के नियम पर अन्योन्य प्रेरण पर स्वप्रेरण पर Solution ट्रांसफार्मर अन्योन्य प्रेरण सिद्धांत पर आधारित है। इसकी खोज माइकल फैराडे ने की थी। 18 / 20 18. अनुदैर्ध्य तरंग (Longitudinal Wave) का संचरण होता है- केवल ठोस में केवल गैस में ठोस एवं द्रव में ठोस, द्रव तथा गैस में Solution अनुदैर्ध्य तरंगें वे तरंगें होती हैं जिनमें माध्यम का विस्थापन यात्रा तरंग की दिशा के समान दिशा में होता है। ठोस, द्रव और गैसों में सर्वाधिक प्रत्यास्थ है। अत: अनुदैर्ध्य तरंग का संचरण ठोस द्रव तथा गैस में होता है। 19 / 20 19. समुद्र नीला प्रतीत होता है– अधिक गहराई के कारण प्रकाश के परावर्तन तथा जल के कणों द्वारा प्रकाश के प्रकीर्णन के कारण जल के नीले रंग के कारण जल की ऊपरी सतह के कारण Solution प्रकाश के परावर्तन तथा जल के कणों द्वारा प्रकाश के प्रकीर्णन के कारण समुद्र नीला प्रतीत होता है। इसके बारे में सर्वप्रथम CV Raman ने बताया। 20 / 20 20. किसी गोलीय दर्पण तथा किसी पतले गोलीय लेंस दोनों की फोकस दूरियाँ +12 cm है। दर्पण तथा लेंस संभवत होंगे– अवतल दर्पण तथा अवतल लेंस उत्तल दर्पण व उत्तल लेंस दर्पण उत्तल तथा अवतल लेंस दर्पण अवतल तथा लेंस उत्तल Solution किसी भी गोलीय दर्पण से दूरियाँ उसके ध्रुव से तथा गोलीय लेंस में दूरियाँ उसके प्रकाशिक केन्द्र से मापी जाती है। प्रकाश किरण के गमन के आगे की दूरियाँ धनात्मक व विपरीत दिशा में मापी गई दूरियाँ ऋणात्मक होती है। उत्तल दर्पण व उत्तल लेंस दोनों की फोकस दूरियाँ धनात्मक होती है। अवतल दर्पण तथा अवतल लेंस की फोकस दूरियाँ ऋणात्मक होती है। Your score is 0% पुनः प्रारम्भ करे आपको यह क्विज कैसी लगी ….रेटिंग दे | धन्यवाद 😍 👇👇 Send feedback फ्री टेस्ट , नोट्स और अपडेट के लिए Join करे 👇👇 Join WhatsApp Join Now Join Telegram Join Now